✕
未登录
登录后体验更多功能
首页
精选
考试
记工天
工具
建议
登录
注册
六九工地网69w.net
首页
精选
考试
记工天
📒 记账本
工具
建议
登录
注册
首页
工具
记工
记账
考试
登录
工具系统
本系统所有工具,都是经过计算公式计算出来结果
分享你的公式
共
313
个工具
算料下料
计算
三角函数
单位转换
材料查询
几何计算
生活实用
工程计算
螺旋板式换热器湍流状态下传热系数α计算公式与在线计算器
螺旋板式换热器介质雷诺数Re(体积流速w)计算公式(2)与在线计算器
螺旋板式换热器介质雷诺数Re(质量流速G)计算公式(1)与在线计算器
螺旋板式换热器通道中流速w计算公式与在线计算器
螺旋板式换热器螺旋通道当量直径De计算公式与在线计算器
螺旋板式换热器螺旋板有效换热面积F计算器
螺旋板式换热器螺旋通道截面积F1计算器
螺旋板式换热器螺旋体长轴外径D0计算器
螺旋板式换热器螺旋板圈数Nb计算器
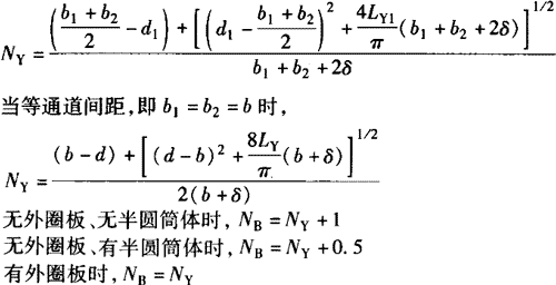
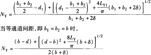
螺旋板式换热器螺旋体有效换热圈数Ny计算器
螺旋板式换热器螺旋通道长度L3计算器
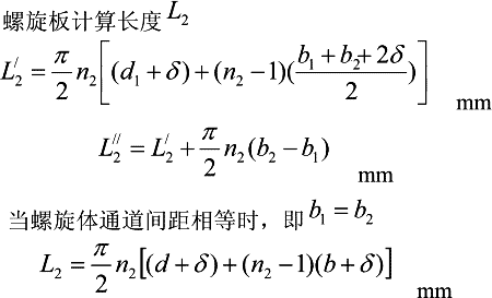
螺旋板换热器螺旋板计算长度L₂计算器
上一页
1
2
3
4
5
6
7
8
9
...
27
下一页